Transum Software

Changing The Subject

Rearrange a formula in order to find a new subject in this self marking exercise.

Menu Level 1 Level 2 Level 3 Level 4 Level 5 Level 6 Level 7 Level 8 Exam Help More

This is level 6: finding the unknown which is not the subject of a formula You can earn a trophy if you get at least 9 correct and you do this activity online.

If a = 2b + c, find c when a=10 and b=3

Correct Wrong

If a = 2b + c, find b when a=20 and c=8

Correct Wrong

If e = 3(f + g), find g when e=15 and f=3

Correct Wrong

If e = 4(f + g), find f when e=15 and g=8

Correct Wrong

If m = n² + 4p, find p when m=20 and n=8

Correct Wrong

If m = n² + 4p, find n when m=41 and p=4

Correct Wrong

If w = (u - 2v)², find v when w=64 and u=-8

Correct Wrong

If 4j = (k - 3h)², find k when j=16 and h=-4

Correct Wrong

If a = c - ¼b², find c when a=-9 and b=-22

Correct Wrong

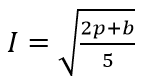
    Formula
find p when:
I=18 and b=2

Correct Wrong

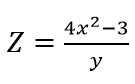
    Formula
find x when:
Z=32.1 and y=10

Correct Wrong

    Formula
find x when: A=1
 

Correct Wrong

Check

This is Changing The Subject level 6. You can also try:
Level 1 Level 2 Level 3 Level 4 Level 5 Level 7 Level 8

Instructions

Try your best to answer the questions above. Type your answers into the boxes provided leaving no spaces. As you work through the exercise regularly click the "check" button. If you have any wrong answers, do your best to do corrections but if there is anything you don't understand, please ask your teacher for help.

When you have got all of the questions correct you may want to print out this page and paste it into your exercise book. If you keep your work in an ePortfolio you could take a screen shot of your answers and paste that into your Maths file.

Why am I learning this?

Mathematicians are not the people who find Maths easy; they are the people who enjoy how mystifying, puzzling and hard it is. Are you a mathematician?

Comment recorded on the 1 February 'Starter of the Day' page by Terry Shaw, Beaulieu Convent School:

"Really good site. Lots of good ideas for starters. Use it most of the time in KS3."

Comment recorded on the 19 October 'Starter of the Day' page by E Pollard, Huddersfield:

"I used this with my bottom set in year 9. To engage them I used their name and favorite football team (or pop group) instead of the school name. For homework, I asked each student to find a definition for the key words they had been given (once they had fun trying to guess the answer) and they presented their findings to the rest of the class the following day. They felt really special because the key words came from their own personal information."

Each month a newsletter is published containing details of the new additions to the Transum website and a new puzzle of the month.

The newsletter is then duplicated as a podcast which is available on the major delivery networks. You can listen to the podcast while you are commuting, exercising or relaxing.

Transum breaking news is available on Twitter @Transum and if that's not enough there is also a Transum Facebook page.

Featured Activity

Hi-Low Predict

Hi-Low Predict

A version of the Play Your Cards Right TV programme. Calculate the probabilities of cards being higher or lower than the one shown. a fun way to practise applying probability and using fractions.

Answers

There are answers to this exercise but they are available in this space to teachers, tutors and parents who have logged in to their Transum subscription on this computer.

A Transum subscription unlocks the answers to the online exercises, quizzes and puzzles. It also provides the teacher with access to quality external links on each of the Transum Topic pages and the facility to add to the collection themselves.

Subscribers can manage class lists, lesson plans and assessment data in the Class Admin application and have access to reports of the Transum Trophies earned by class members.

If you would like to enjoy ad-free access to the thousands of Transum resources, receive our monthly newsletter, unlock the printable worksheets and see our Maths Lesson Finishers then sign up for a subscription now:

Subscribe

Go Maths

Learning and understanding Mathematics, at every level, requires learner engagement. Mathematics is not a spectator sport. Sometimes traditional teaching fails to actively involve students. One way to address the problem is through the use of interactive activities and this web site provides many of those. The Go Maths page is an alphabetical list of free activities designed for students in Secondary/High school.

Maths Map

Are you looking for something specific? An exercise to supplement the topic you are studying at school at the moment perhaps. Navigate using our Maths Map to find exercises, puzzles and Maths lesson starters grouped by topic.

Teachers

If you found this activity useful don't forget to record it in your scheme of work or learning management system. The short URL, ready to be copied and pasted, is as follows:

Alternatively, if you use Google Classroom, all you have to do is click on the green icon below in order to add this activity to one of your classes.

It may be worth remembering that if Transum.org should go offline for whatever reason, there is a mirror site at Transum.info that contains most of the resources that are available here on Transum.org.

When planning to use technology in your lesson always have a plan B!

Transum.org is a proud supporter of the kidSAFE Seal Program

© Transum Mathematics 1997-2026
Scan the QR code below to visit the online version of this activity.

This is a QR Code

https://www.Transum.org/go/?Num=365

Description of Levels

Close

Close

Level 1 - Formulas which can be rearranged by adding or subtracting terms from both sides

Example: Make e the subject of the formula d = e - f

Level 2 - Formulas which can be rearranged by multiplying or dividing both sides by a value

Example: Rearrange the formula n = mp

Level 3 - Formulas which can be rearranged by adding, subtracting, multiplying or dividing both sides by a value

Example: Rearrange the formula b = a + cd

Level 4 - Formulas including brackets or expressions in the numerator or denominator of a fraction

Example: Rearrange the formula p = s(t + 2)

Level 5 - Formulas including squares or square roots

Example: Rearrange the formula d² = 2a + 1

Level 6 - Finding the unknown which is not the subject of a formula

Example: If m = n² + 2p, find p when m=8 and n=10

Level 7 - Rearrange the formulae where the new subject appears twice; fill in the blanks

Example: Rearrange the formula ax + b = cx + g to make x the subject

Level 8 - Rearrange the formulae where the new subject appears twice; show your working

Example: Rearrange the formula a(3-x)=5x to make x the subject

Exam Style Questions - A collection of problems in the style of GCSE or IB/A-level exam paper questions (worked solutions are available for Transum subscribers).

More Algebra including lesson Starters, visual aids, investigations and self-marking exercises.

Answers to this exercise are available lower down this page when you are logged in to your Transum account. If you don’t yet have a Transum subscription one can be very quickly set up if you are a teacher, tutor or parent.

Log in Sign up

Curriculum Reference

See the National Curriculum page for links to related online activities and resources.

Help Video

In level 6, there are two solutions to the questions which involve finding a square root (which could be positive or negative). This program will accept either of the possible answers.

Example

Make \(y\) the subject of the following:

Example

Don't wait until you have finished the exercise before you click on the 'Check' button. Click it often as you work through the questions to see if you are answering them correctly. You can double-click the 'Check' button to make it float at the bottom of your screen.

Answers to this exercise are available lower down this page when you are logged in to your Transum account. If you don’t yet have a Transum subscription one can be very quickly set up if you are a teacher, tutor or parent.

Log in Sign up

Close

Close